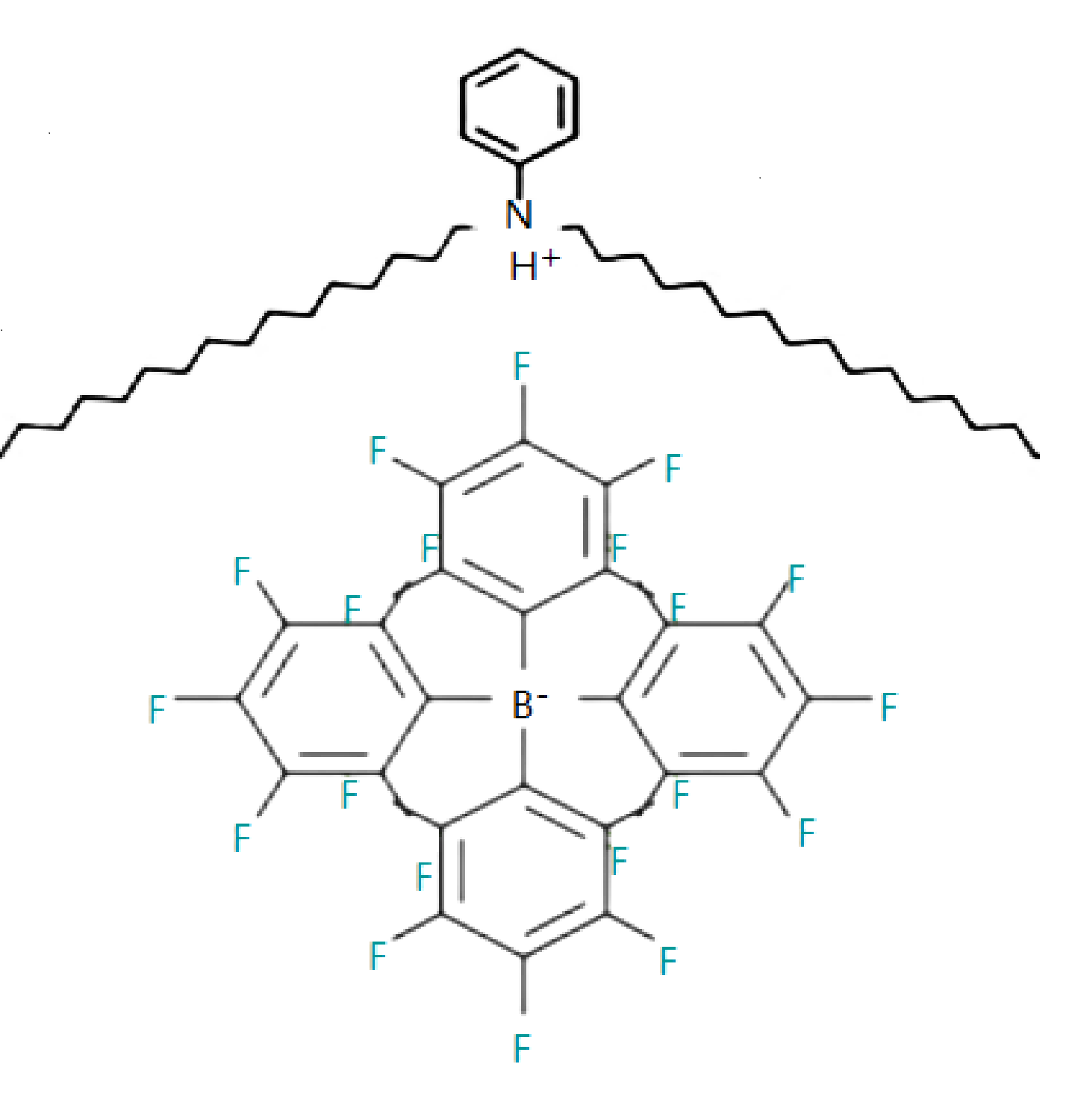
N,N-双十六烷基苯铵四(五氟苯基)硼酸盐

0

类别
产品中心
CAS No.
2803986-18-5
Purity
98%

产品详情

中文名:N,N-双十六烷基苯铵 四(五氟苯基)硼酸盐

英文名:N,N-dihexadecylanilinium Tetrakis(pentafluorophenyl)borate

CAS号:2803986-18-5

分子式:C38H71N.C24BF20.H

分子量:1222.02g/mol

含   量:≥98%

包   装:氟化桶包装,规格有50kg、5kg、1kg或按照客户要求包装。